この記事の概要
変動はなくせない。だからこそ「流して吸収する」設計が必要だ。
Factory Physicsが示す、時間・在庫・能力の3つのバッファで“揺らぎを制御する”工場設計論。
本文ダイジェスト
Factory Physicsは、変動を敵とせず、吸収しながら流れを保つ設計を説きます。
その核となるのが、時間・在庫・能力という3つのバッファ。これらをどう配置・活用するかが安定化の鍵です。
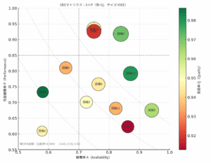
変動マップを用いれば、工程ごとのCV(到着・処理の変動係数)を可視化し、どこで“変動の波”が生まれ、どこで吸収すべきかを明確にできます。
noteで全文を読む
本記事の詳細は、以下のnoteでご覧いただけます。


コメント